2013年7月6日
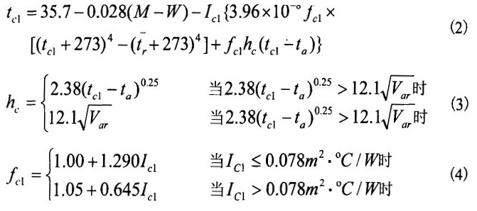
式中:

PMV指標代表了同一環境下絕大多數人的感覺,但人與人之間存在生理差別,如性別、年齡、體格和體型、膚色等。因此PMV指標并不一定能夠代表所有人的感覺。所以這里引入PPD的指標。在ISO7730中規定了PPD的值:
![]()
式中:
M - 人體表面能量代謝率,W/m2;
W - 人體所作的機械功,w/m2,集裝箱活動房主要用于辦公和休息,大部分情況可以取零;
Icl - 衣著的熱阻,m2·℃/W;
fcl - 穿衣面積系數,及人體衣服的覆蓋率,與衣服熱阻有關;
ta - 人體周圍空氣溫度,℃;

公式(1)可知,PMV與人體能量代謝率、衣著量、空氣溫度、平均輻射溫度、空氣流速和空氣濕度有關,集裝箱活動房該六個參數的取值可以參照下列范圍:

可以根據集裝箱活動房所在的具體位置及活動房的室內氣候條件、人員情況,直接帶入公式(l)和公式(5)計算出PMV和PPD,也可以實現根據不同的
值,列出表格,然后采用插值法進行計算求取。得到的PMV指標代表了集裝箱活動房條件下工作人員的冷熱感覺,可以用以指導活動房設計和室內環境參數的調整,但人與人之間存在生理的差別,PPD指標用以表示工作人員對環境不滿意的百分數。ISO7730對PMV-PPD的推薦值為PPD<10%,PMV在-0.5~+0.5之間取值。利用概率分析法得到PMV和PPD的關系曲線如圖3所示。

圖3 PMV-PPD關系曲線
3 提高集裝箱活動房舒適性及節能的措施
以PMV和PPD指標作為集裝箱活動房供暖系統和空氣處理系統的室內參數控制方法,不僅可以為處在嚴寒地區的工作人員創造舒適健康的環境,還有利于降低系統的能耗。但是PMV和PPD指標與人體舒適性的關系較為復雜,并不是線性關系或存在一定的規律,所以還需采用計算流體力學(CFD)的仿真技術對室內空氣環境參數進行必要的仿真,來預測環境溫濕度場、速度場及流場的分布情況,從而確定合理的設計方案。對于集裝箱活動房的設計,不僅要考慮到室內環境的熱舒適性,同時還要兼顧節能因素。在圍護結構和室外設計參數一定的情況下,供暖時每降低1℃,耗能可降低10%以上。
3.1 降低室內環境參數
結合PMV和PPD的評價指標,適當降低室內環境參數,不僅可以滿足舒適性的需要,還有助于節能。設計的時候不應該盲目的套用設計手冊和國外標準,不結合實際情況追求高標準。國內外一些暖通空調的設計標準也是在不斷變化的。對于集裝箱活動房,結合其使用環境的特殊性,室內外溫差較大,可以考慮在維持舒適度的前提下適當降低設計標準,室內環境溫度控制在20℃以下,相對濕度控制在50%一60%,即可滿足要求。
3.2 墻體內表面布置預熱裝置
集裝箱活動房地處寒冷地區,房間供熱系統開啟后房間內的氣溫很快就會上升到設定值,但鑒于墻體和窗體有熱惰性,墻體和窗體壁面溫度上升較慢,如果此時對房間加濕,就會因壁面溫度低于機器露點而出現結露甚至結霜的現象。門窗會凍結,工作人員會因地板結霜而出現粘連現象。同時,由于壁面溫度較低,增加了輻射冷感,降低了房間舒適度。所以,設計的時候可以考慮在房間墻體布置電加熱或其他預熱裝置,提升墻體內表面的溫度,縮小與氣溫的溫差。當墻體溫度達到設定值后,預熱裝置退出供暖系統,此時由于圍護結構的保溫作用和室內空氣與墻體的對流換熱,將維持墻體壁面與房間氣溫的溫差在設定范圍內。
3.3 合理設置換氣時間
集裝箱活動房為寒冷地區工作人員提供了舒適的工作和休息環境,一般工作人員在這樣的場合從事腦力勞動或者休息,室內空氣受污染的程度不高。集裝箱活動房設有排風扇,用以調節室內空氣清新度。由于室外空氣溫度較低,頻繁的換氣,將室外低溫空氣引入房間勢必會造成能量的消耗。可以考慮在工作人員外出作業,供暖系統停止工作時,將排風扇打開換氣,或者在工作人員休息時,定時將少量冷空氣送入房間,沖淡污濁空氣濃度,提高室內空氣品質,還有助于節能。
3.4 保證工作人員活動區域的供暖
供暖系統采用電加熱或者熱水散熱片加熱,有時采用空調供暖的方式來滿足活動房室內氣溫的需求,送風方式或者散熱方式的不同,勢必會在房間內局部存在“死角”。這些區域由于氣流不暢,溫升較慢。采用CFD仿真技術,設置送風速度、溫度、送風方式等邊界情況,根據氣流組織形式,尋求活動房室內溫濕度場及流場的分布規律。根據仿真結果,調整封口及送風方式,將流場分布均勻的區域調整到人員活動頻繁的區域,也有助于增加人體舒適感。
4 結論
集裝箱活動房的目標是為在特殊環境下從事科考、勘探及軍事等工作人員提供一個舒適健康的環境,是暖通空調的個例,從事這一領域研究的學者較少,尤其是對集裝箱活動房舒適性的研究就更少了。筆者對活動房舒適性做了理論性的分析研究,對活動房的設計具有一定的參考價值,但這與實際目標還存在一定的距離,還應從以下幾個方面做進一步的研究。
4.1 室內動態熱舒適性的研究
在動態環境下,研究集裝箱活動房溫濕度場根據不同氣流組織的分布情況,不同工作人員對熱舒適性空氣參數的反應,及不同地區所對應的人體舒適區域。對供熱或者空調集裝箱活動房分別研究,尋求在制冷與制熱不同工況下人體舒適性區域的變化。
4.2 高效的空調或供暖控制方式
合理有效的控制方式是實現室內熱舒適性和高室內氣體品質的重要手段。PMV-PPD引入到控制中無疑是一個重要的突破,結合模糊控制技術,必將會為暖通空調的控制研究提供全新的研究方向。
4.3 理論與實踐相結合
該領域的研究需要有實驗數據相結合,需從事相關的實驗研究來佐證理論成果。
相關內容:
查看更多集裝箱房屋|集裝箱活動房|住人集裝箱|集裝箱住宅|集裝箱建筑|二手集裝箱論文文獻